tyc7111cc太阳成集团
计算机科学与技术学院
首页
太阳集团概况
学院简介
学院领导
组织机构
师资队伍
校友风采
荣誉展示
新闻公告
学科专业
学科介绍
专业介绍
本科教学
培养方案
教学大纲
专业建设/课程建设
教学成果
创新创业教育
研究生培养
硕士点简介
导师队伍
招生就业
培养动态
创新竞赛
太阳集团
科研平台
科研动态
学术交流
学生工作
组织机构
“计”忆犹新
信息公开
党群工作
组织机构
党建书苑
党建动态
工会工作
下载中心
教师下载中心
学生下载中心
太阳集团概况
学院简介
学院领导
组织机构
师资队伍
校友风采
荣誉展示
新闻公告
通知公告
学院新闻
当前位置:
首页
当前位置:
首页
当前位置:
首页
当前位置:
首页
正文
新闻公告
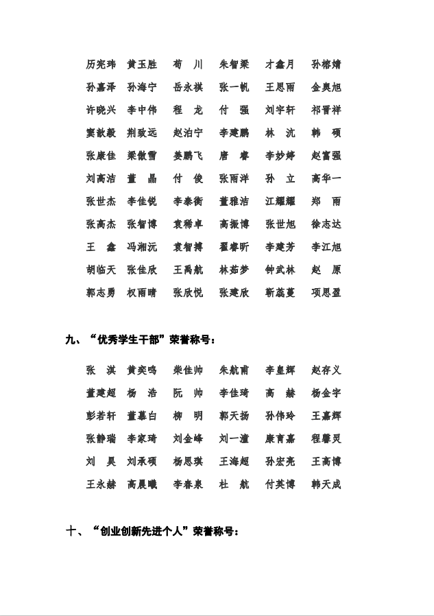
2021-2022学年三好学生及单项荣誉、优秀学生奖学金、单项奖学金拟推荐名单公示
2022年09月10日 18:50 点击:[]
上一条:
太阳集团tyc7111cc太阳成集团 2023年硕士研究生复试及调剂工作细则
下一条:
2022届本科毕业生奖学金和先进个人拟推荐名单公示